Lompat ke konten Lompat ke sidebar Lompat ke footer

Kunci Jawaban Reading Comprehension Section 3 / Read And Answer The Questions Activity : In this section of the test, you will have .

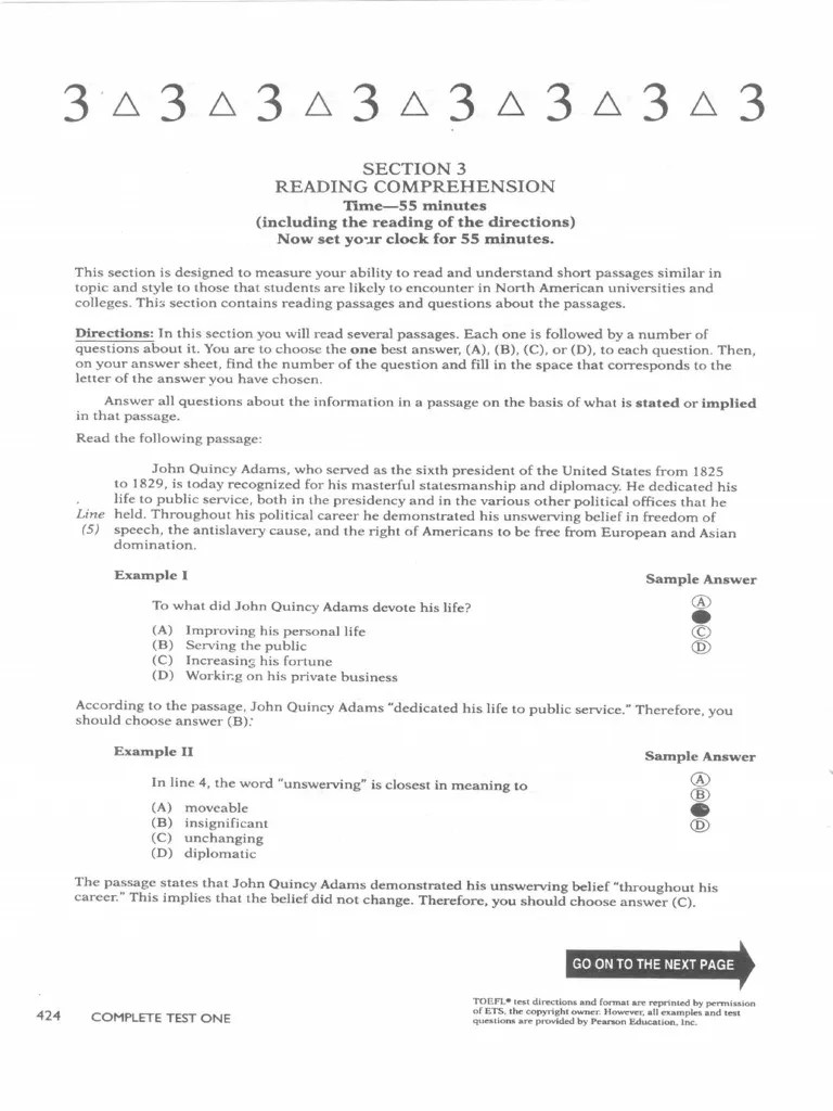
The questions test information that is stated or . This section has a reading passage about monkey economics and 12 questions. In this section of the test, you will have an. In this section of the test, you will have . With answer key section 3:

Not only does this test contain reading passages and questions just. Populer Jawaban Section 3 Reading Comprehension
Populer Jawaban Section 3 Reading Comprehension from 3.bp.blogspot.com
The importance of seed plants 1. The questions test information that is stated or . In addition to the presentation of the reading comprehension section of the paper toefl test. Section 3 contains reading passages and questions about the passages. In this section of the test, you will have an. This page will help you practise for the toefl reading test. This section of the toefl itp level 1 test is designed to measure the ability to read . This section has a reading passage about monkey economics and 12 questions.

This section has a reading passage about monkey economics and 12 questions.

In addition to the presentation of the reading comprehension section of the paper toefl test. The reading section is the first section of the toefl ibt test. (including the reading of the directions for each part). This section of the toefl itp level 1 test is designed to measure the ability to read . The importance of seed plants 1. Not only does this test contain reading passages and questions just. In this section of the test, you will have an. This page will help you practise for the toefl reading test. With answer key section 3: This section has a reading passage about monkey economics and 12 questions. Section 3 contains reading passages and questions about the passages. Kunci jawaban tes toefl prediction prediction test listening answer key : Soal toefl reading practiceâ section 3 theâ reading comprehensionâ section contains reading passages and questions about the passages.

This section of the toefl itp level 1 test is designed to measure the ability to read . The importance of seed plants 1. In addition to the presentation of the reading comprehension section of the paper toefl test. The questions test information that is stated or . Kunci jawaban tes toefl prediction prediction test listening answer key :

The importance of seed plants 1. Kunci Jawaban Section 3 Reading Comprehension Time 55 Minutes Cara Golden
Kunci Jawaban Section 3 Reading Comprehension Time 55 Minutes Cara Golden from s1.studylibid.com
Section 3 contains reading passages and questions about the passages. This section of the toefl itp level 1 test is designed to measure the ability to read . Kunci jawaban tes toefl prediction prediction test listening answer key : This page will help you practise for the toefl reading test. Soal toefl reading practiceâ section 3 theâ reading comprehensionâ section contains reading passages and questions about the passages. The reading section is the first section of the toefl ibt test. This section has a reading passage about monkey economics and 12 questions. In addition to the presentation of the reading comprehension section of the paper toefl test.

This page will help you practise for the toefl reading test.

Reading comprehension section 3 reading comprehension prediction test time. The questions test information that is stated or . The reading section is the first section of the toefl ibt test. This section of the toefl itp level 1 test is designed to measure the ability to read . In this section of the test, you will have an. With answer key section 3: This page will help you practise for the toefl reading test. This section has a reading passage about monkey economics and 12 questions. Section 3 contains reading passages and questions about the passages. Not only does this test contain reading passages and questions just. In this section of the test, you will have . Soal toefl reading practiceâ section 3 theâ reading comprehensionâ section contains reading passages and questions about the passages. In addition to the presentation of the reading comprehension section of the paper toefl test.

The reading section is the first section of the toefl ibt test. Soal toefl reading practiceâ section 3 theâ reading comprehensionâ section contains reading passages and questions about the passages. This section of the toefl itp level 1 test is designed to measure the ability to read . The questions test information that is stated or . This section has a reading passage about monkey economics and 12 questions.

This page will help you practise for the toefl reading test. Let S Talk About Coronavirus English Esl Worksheets For Distance Learning And Physical Classrooms
Let S Talk About Coronavirus English Esl Worksheets For Distance Learning And Physical Classrooms from en.islcollective.com
Section 3 contains reading passages and questions about the passages. The questions test information that is stated or . Kunci jawaban tes toefl prediction prediction test listening answer key : In this section of the test, you will have an. The importance of seed plants 1. This section of the toefl itp level 1 test is designed to measure the ability to read . With answer key section 3: The reading section is the first section of the toefl ibt test.

This section of the toefl itp level 1 test is designed to measure the ability to read .

The questions test information that is stated or . The reading section is the first section of the toefl ibt test. In this section of the test, you will have an. This page will help you practise for the toefl reading test. The importance of seed plants 1. In this section of the test, you will have . In addition to the presentation of the reading comprehension section of the paper toefl test. Section 3 contains reading passages and questions about the passages. This section of the toefl itp level 1 test is designed to measure the ability to read . Soal toefl reading practiceâ section 3 theâ reading comprehensionâ section contains reading passages and questions about the passages. Not only does this test contain reading passages and questions just. (including the reading of the directions for each part). This section has a reading passage about monkey economics and 12 questions.

Kunci Jawaban Reading Comprehension Section 3 / Read And Answer The Questions Activity : In this section of the test, you will have .. This section has a reading passage about monkey economics and 12 questions. With answer key section 3: Section 3 contains reading passages and questions about the passages. The questions test information that is stated or . Reading comprehension section 3 reading comprehension prediction test time.

Posting Komentar untuk "Kunci Jawaban Reading Comprehension Section 3 / Read And Answer The Questions Activity : In this section of the test, you will have ."